서울시립대학교 인공지능학과 김정연 교수님의 확률 및 랜덤 프로세스 강의를 정리함을 미리 알립니다.
Chapter 05. 확률 변수의 쌍
<Outlines>
1. 결합 및 조건부 확률분포
2. 주변확률밀도함수
3. 조건부 확률 밀도 함수
4. 독립
5. 기댓값
6. 공분산과 상관계수
7. 조건부 기댓값
8. 이변량 정규분포
8. 이변량 정규분포
변수가 2개 이상일 때, 우리는 계속 결합 밀도함수(Joint PDF)를 통해 확률을 계산할 수 있었다. 확률 변수가 2개이고, 이 두 변수가 이변량 정규 분포(Bivariate normal distribution)을 따르는 경우를 설명하겠다.
정규 분포를 따르는 각각의 두 변수 X, Y가 있다고 하자. 이 둘은 독립일 수 있고, 아닐 수 있다. 독립이 아닌 경우 공분산과 상관계수가 존재함을 앞 글에서 설명한 적이 있다.

이 때, 정규 분포를 따르고, 상관 계수가 p인 두 변수 X, Y는 다음과 같은 이변량 정규 분포를 따르게 된다.

만약 p가 0이라면, 각 X, Y의 pdf의 곱이 될 것이다. (X, Y는 계속 말하지만 정규 분포를 따른다.)
cf) 변수 X,Y 가 독립이면 공분산 0, 상관계수는 0이다. 하지만 역은 성립하지 않는다.
상관계수와 공분산 계산이 0이 나왔다고 해서 두 변수를 독립이라고 하면 안된다.
PDF를 자세히 봐보겠다. 상관 계수에 따라 pdf를 x, y평면에 사영한 등고선이 달라진다.

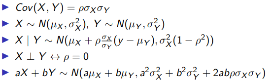
이변량 정규분포는 다음과 같은 성질을 보인다. *증명*


추가 증명..
'학부 수업 > 확률 및 랜덤 프로세스' 카테고리의 다른 글
| ch6. Random Vector (2) (2) | 2024.06.05 |
|---|---|
| ch6. Random Vector (3) | 2024.05.13 |
| ch5. Pair Of RVs (0) | 2024.05.09 |
| ch4-2. simulate RV (0) | 2024.05.09 |
| ch4. Continuous (2) | 2024.05.09 |