서울시립대학교 인공지능학과 김정연 교수님의 확률 및 랜덤 프로세스 강의를 정리함을 미리 알립니다.
Chapter 05. 확률 변수의 쌍
<Outlines>
1. 결합 및 조건부 확률분포
2. 주변확률밀도함수
3. 조건부 확률 밀도 함수
4. 독립
5. 기댓값
6. 공분산과 상관계수
7. 조건부 기댓값
8. 이변량 정규분포
1. 결합 및 조건부 확률분포
- 결합 확률질량함수(PDF) - '이산형'
그냥 이산형 확률 변수가 2개 일 때의, 확률질량함수를 결합 확률질량함수라고 부른다.

걍 확률밀도함수(PDF)의 이변수 버전.. P안쪽에 쉼표 ' , '는 AND 조건이다. #특이하게.. p로 표현한다..

당연..
일변수 일 떄도, 이산형 확률 변수의 pdf는 그 확률 변수에 해당된 값의 확률을 보여줬다.
이변수 일 때도 마찬가지이다.
- 결합 누적분포함수(CDF)

똑같다.. 확률을 누적한다(이변수 함수 버전 CDF)
# 결합 CDF의 필요충분조건 **암기** cf) CDF의 필요 충분 조건에 대해 공부했었다. 이제 변수가 2개가 된거다..
한 쪽이라도 - 무한대로 가면, 누적 확률은 무조건 0이다. 이 또한 right continuity를 만족한다.

4번 조건이 좀 특이하다. 저렇게 그림 그려서 외우면 쉽다.
확률 변수 하나라도 -무한대로 가면 0, 둘다 무한대로 가면 1
특이한 조건, right continuity..
- 결합 확률 밀도 함수 - 연속형 # CDF 미분하면 PDF 나온다. 2변수니까 각 각 편미분 한다..

연속형일 땐, 누적 확률을 pdf를 적분해서 구했다.
당연히 PDF는 0보다 커야하고(구간 적분이 음수가 되면 안되니까..), 모든 확률의 합은 1이다.

당연한 성질.. 이게 왜 갑자기 cdf 설명하다가 여기서 나오는지 모르겠다. 헷갈리면 안된다 이건 연속형 pdf에 대한 성질이다!
<Example>

적분 구간을 잘 설정하자. 적분을 차분하게 잘 해야한다.

sol. 공식을 자주 봐두자. 구간도 잘 봐두자.
항상 적분 계산은 차분하게 한다.
2. '주변' 확률밀도함수 ***marginal PDF*** # 다른 확률 변수 무시하고 pdf 뽑고 싶다.
결합 pdf에서 한 확률 변수에 대한 pdf를 뽑아낼 수 있다. 버리고 싶은 확률 변수에 대해 전 구간에 대한 연산을 하면 된다.

무시하고 싶은 함수에 대해 전구간 연산을 때려버려랴..
<Example>

sol) c는 전구간에 대해 적분을 했을 때, 1임을 통해 알 수 있다. X의 marginal pdf는 y에 대해 전 구간 확률 계산을 돌리면 된다.
# Point.. Marginal pdf 구할 때, 적분 구간의 설정
적분 구간이 상수일 때는 문제가 없다. 하지만, 적분 구간이 상수가 아니면 제한 범위를 잘 생각해야한다.
아래 풀이를 봐보자.

3. '조건부' 확률 밀도 함수 (조건부 pdf)
조건부에 따라 분포가 달라진다.
일변수일 때, 조건부 확률의 분모에는 조건의 확률이, 분자에는 교집합의 확률이 들어갔다.
하지만 2변수에서는 분자에는 조건의 pdf가, 분모에는 결합 pdf가 들어간다.


분자에 결합 pdf가 들어가는게 진짜 와닫지 않는다. 꼭 잘 외우고 넘어가자. 알고 싶은걸 함수 아래 적는다. x가 ~일 때 y를 알고 싶으니가 이 조건부 pdf는 fY이다.. 이게 생각보다 헷갈린다..
<Example>

sol) 조건부 pdf의 정의를 잘 알고있으면 된다. '주변' pdf를 fxy에서 구하여(fx) 조건부 pdf의 정의에 맞게 식을 작성하면 된다.

예제.5.31 이게 진짜 와닫지 않는다..
풀이는 다음과 같다.

point들을 잘 보며 잘 따라해보자...
- 조건부 결합밀도함수의 전확률 공식

적분 변수를 잘 보자. 조건이 적분 변수가 된다. (그래야 y에 대한 식이 나올거 아니냐..)
이 또한 일변수함수의 전확률 공식을 생각하면 된다... 단독확률을 알고 싶은데 조건부 확률이 주어진 경우 사용했다.

cf.. ch2. 전확률 공식
<Example>

예제 5.33

감마에 관련된 공식 잘 외우자..
4. 독립
- 독립의 필요 충분 조건(1)

필요 충분 조건. 결합 pdf가 각각의 pdf으로 쪼개지면 X, Y는 독립이다./ X, Y가 독립이면 pdf는 각각으로 쪼개진다.
쪼개기면 독립이다. 이는 정의이다. 하지만 X, Y가 독립이면 쪼개진다 이는 증명해야한다. *증명*

뭔가 이상한데... 걍 외우자..
<Example>

sol1) '주변' pdf 계산을 통해 fx, fy를 따로 따로 구하고 이 곱이 fxy인지 확인한다.
sol2) 결합 pdf가 각각의 x ,y 두 일변수 함수로 쪼개질 수 있기에, X, Y는 독립이다.
-> 독립의 필요충분조건(2) 에서 설명한다.
- 독립의 필요충분조건(2) **증명**


암기
5. 기댓값
똑같이 하면 된다..

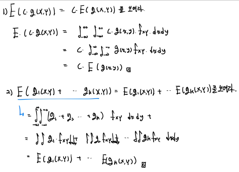
- 기댓값의 성질 (2변수에서도 유지되는가?) **증명 2개**
1) 선형성

유지

된당..

기댓값의 성질은 1) 단조성 2) 선형성 3) 독립일 때, E(XY) = E(X)E(Y)가 있었다. 이를 증명하자.
2) X,Y 가 독립일 때, E(XY) = E(X)E(Y)

이 증명은 전제 조건을 잘 사용하는게 가장 중요하다.

6. 공분산과 상관계수
- 공분산

Cov 식, 두 성질 암기.. 두 성질의 증명은 그냥 공분산 정의에 대입해보면 된다.
**증명**

**증명3개**


- 상관계수(correlaton..)

상관 계수가 -1과 1사이임을 증명 **증명**

빨간 조건을 꼭 써줘야 한다..
- 공분산 행렬(Covariance matrix)

그렇군.. 이런게 있다.
7. 조건부 기댓값 ***정의를 잘 알아야 한다.***
# 조건부 기댓값은 조건부 변수의 함수이다.# 조건부 기댓값은 조건부 변수의 함수이다.
# 조건부 기댓값은 조건부 변수의 함수이다.# 조건부 기댓값은 조건부 변수의 함수이다.
# 조건부 기댓값은 조건부 변수의 함수이다.# 조건부 기댓값은 조건부 변수의 함수이다.
# 조건부 기댓값은 조건부 변수의 함수이다.# 조건부 기댓값은 조건부 변수의 함수이다.
# 조건부 기댓값은 조건부 변수의 함수이다.# 조건부 기댓값은 조건부 변수의 함수이다.
# 조건부 기댓값은 조건부 변수의 함수이다.# 조건부 기댓값은 조건부 변수의 함수이다.
# 조건부 기댓값은 조건부 변수의 함수이다.# 조건부 기댓값은 조건부 변수의 함수이다.
# 조건부 기댓값은 조건부 변수의 함수이다.# 조건부 기댓값은 조건부 변수의 함수이다.
제발 외우고 시작해라. 조건부 기댓값은 조건부 변수의 함수이다. (상수값이 아니다.)
- 조건부 기댓값 # 조건부 기댓값은 조건부 변수의 함수이다.

이렇게 구한 조건부 기댓값은 조건부 변수에 대한 함수이다.
정의를 잘 봐라. pdf에는 조건부 pdf가 들어간다. 나머지는 다 y..(이 형태를 잘 기억하자.)
예제를 풀며 내가 한 말을 생각해보자.
<Example>

음 저 기댓값은..! 조건부 변수인 x의 함수로 나와야겠군.. 생각하라..

# 조건부 기댓값은 조건부 변수의 함수이다.
오! 조건부 기댓값이, 조건부 변수의 함수로 나왔다! 내가 계속 말하던거다..
이게 왜 중요한지는 다음 조건부 기댓값의 기댓값에서 나온다 .. (말이 좀 이상해도 이렇게 해야 이해가 쉽다.)
- 조건부 기댓값의 기댓값 성질 ***암기, 증명***

이를 증명하면 다음과 같다.

만약 조건부 기댓값이 조건부 변수의 함수임을 몰랐다면, 일단 i)의 결과가 x의 함수임을 알기 어렵다.
또한 기댓값이니까 상수! 그러므로 상수에 다시 기댓값을 해도 결과는 같다라는 이상한 생각을 할 수 있다.
# 조건부 기댓값은 조건부 변수의 함수이다. 그래서 ii)에서 x의 pdf를 곱했다.(기댓값 정의)

조건부 기댓값은 조건부 변수의 함수이다. 이를 g(x)라고 생각하면 쉽다.
- X, Y가 독립일 때, 조건부 기댓값의 성질 ***증명***


- 조건부 분산

조건부에는 제곱 안한다.
# 파생 관계식.. 꼭 암기 **증명**

이를 증명해보겠다. # 가운데에 있는 조건부 분산의 기댓값을 이용한다.

이 방법을 잘 외워놓자.
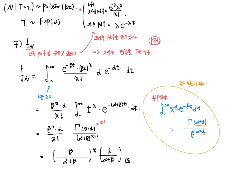
<Example>


fN을 구했으니까.. 이걸로 기댓값. 분산 정의 쓰면 되겠지..
8. 이변량 정규분포
'학부 수업 > 확률 및 랜덤 프로세스' 카테고리의 다른 글
| ch6. Random Vector (3) | 2024.05.13 |
|---|---|
| ch5. Pair Of RVs(2) - 이변량 정규분포 (0) | 2024.05.13 |
| ch4-2. simulate RV (0) | 2024.05.09 |
| ch4. Continuous (2) | 2024.05.09 |
| Ch3. Discrete (1) | 2024.05.09 |