서울시립대학교 인공지능학과 정지영 교수님의 패턴인식 강의를 정리함을 미리 알립니다.
<목차>
Continuous Time Convolution
Convolution Properties
The Response of LTI Systems to Complex Exponentials
CTFS
DTFS
이전 글을 꼭 보고 오자 The Response of LTI Systems to Complex Exponentials와 연결된다.
https://dogunkim.tistory.com/54
- CTFS # CT 신호에 대한 푸리에 시리즈이다.
1. Fourier series
앞에서 Input 신호가 지수 복소 형태 즉 Complex Exponentials 형태이면 Output 신호 예측이 쉽다는 걸 알 수 있었다.
결론부터 말하자면, 주기성을 갖는 신호들은 '거의 다' 복소 지수 형태로 표현이 가능하다. 즉, Output 예측을 쉽게 하기 위해 대부분의 주기 신호들은 복소 지수 형태로 바꾼 뒤 LTI 시스템에 넣을 수 있다는 것이다.
주기 신호를 복소 지수 형태들의 합으로 바꾸는 것을 Fourier series 라고 한다. 테일러 급수 같은거라고 생각하면 된다.
푸리에 시리즈는 주기 신호를 무작정 서로 관계 없는 복소 지수들로 표현하지 않고, Harmonically related 즉 공통적인 주기를 공유하며, 이를 배수로 갖는 복소 지수들로 표현하며, 복소 지수는 순허수 지수를 가진다.
cf. Harmonically related Complex Exponentials를 쓰는 이유는 나중에 푸리에 시리즈로 표현할 수 없는 CT 주기 신호를 보일 때 설명할 것이다



주기 신호를 표현하고자 하는 것이니 순허수로 표현해야 하는 것이 자명하다.
그래서 푸리에 시리즈는 다음과 같이 생겼다.

cf. Fundamental period = T, Fundamental frequency w0 = 2pi/T 이를 각 주파수 Radian frequency라고도 한다.
cf2. '대부분'의 주기 함수는 푸리에 시리즈로 표현할 수 있다. 표현 못하는 주기 함수는 뒤에서 따로 다룬다.
ex1) 푸리에 시리즈 유형.


주기 함수 x(t)가 w0 = 2pi인 Complex Exponentials합, 즉 푸리에 시리즈로 표현되어 있다.
이를 아래 복소 삼각함수 공식을 통해 전개하면 다음과 같다.


푸리에 시리즈를 이해하기 위해서는 이렇게 전개된 식을 하나 하나 뜯어보면 된다.

이를 하나씩 더해나가다 보면 원래의 신호를 표현할 수 있는 것이다. 이게 바로 푸리에 시리즈이다.


분해한 여러 신호들의 합으로 원래의 주기 신호가 표현되었다.
위 신호는 7개의 부분합으로 표현할 수 있었다. 일반적으로는 이렇게 부분합을 사용하여 신호를 복원한다.

푸리에 시리즈 -무한대 부터 무한대까지의 전체 합 중 푸리에 계수가 0이 아닌 신호들도 복구 되는 것이다.

좌: 푸리에 시리즈 복소 지수 표현/ 우: 푸리에 시리즈 삼각함수 표현. 복소 삼각함수 공식으로 표현하면 세개 다 같은 식이다.
2. Fuerier series coefficients ak
'대부분'의 주기 신호는 푸리에 시리즈로 표현할 수 있고, 어떻게 전개하는지 어떤 의미를 갖는지 위에서 알 수 있었다.
하지만, 위 예제에서는 푸리에 시리즈의 계수인 $를 줬다. 하지만 이는 일반적인 경우는 아니다.
우리는 이렇게 주어지지 않아도, 푸리에 계수 coefficients $ 를 구할 수 있어야 한다.
이에 대한 유도 과정은 다음과 같다.
i) 원래의 푸리에 시리즈에 양변에 푸리에 시리즈에 사용되는 복소지수를 곱한다.

n은 임의의 실수이다.
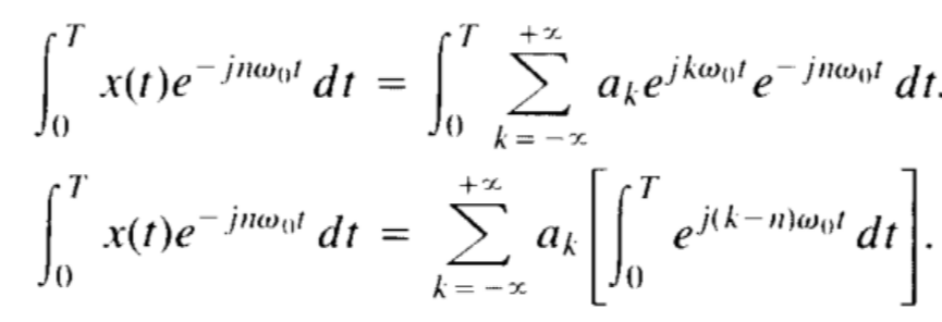
ii) 양변을 input 신호의 한 주기에 대해 적분한다.

적분 변수가 아닌 것들은 적분 밖으로 빼냈다.
두번 째 줄 식의 우변 대괄호 안에 있는 식은 임의의 실수 k와 n의 관계에 따라 아래와 같은 값을 갖게 될 것이다.

k와 b이 같으면 0이돼서 의미가 없어진다.
즉 k = n일 때만, 값의 의미가 생긴다. k가 다른 값을 가지면 대괄호가 0이 되므로 우변은 다음과 같이 바꿀 수 있다.

iii) T를 좌변으로 넘기면 최종적으로 푸리에 시리즈의 계수를 구하는 식이 유도된다.

**최종 식 암기** 한 주기 구간에 대해 적분을 하면 된다.
+ 추가. 대괄호가 0이 되는 이유.

복소 지수 신호는 만약 지수 계수가 순허수라면 Sinusoid하고, periodic하다는 걸 계속 말했다.
즉 만약 k와 n이 같지 않다면 적분 식 안의 신호는 주기를 가지며 Sin과 Cos으로 표현되는 함수일 것이다.
이를 오일러 공식을 통해 전개하면 다음과 같을 것이다.

해당 Sin, Cos의 주기는 T/|k-n|이다. 그렇기에 적분 계산 결과는 0이 될 것이다.
<CT 신호 푸리에 시리즈 정리>


좌: '대부분'의 주기 신호를 복소 지수 신호로 전개한 푸리에 시리즈/ 우: 푸리에 시리즈 계수 구하는 공식

위 전개식을 푸리에 시리즈의 Systhesis equation, 아래 계수를 구하는 식을 Analysis equation이라고 한다.
계수 a0을 구할 때는 안쪽 지수 신호가 1이 되어 다음과 같이 된다. 이를 dc 혹은 constant component라고 한다.

Q. 예상질문 > 푸리에 시리즈의 Systhesis equation과 Analysis equation를 서술하라.
Q. 예상질문 > dc 혹은 constant component를 서술하라. 혹은 O/X로..? 이게 이 뜻이 맞냐? 이런 식..
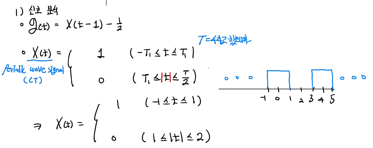
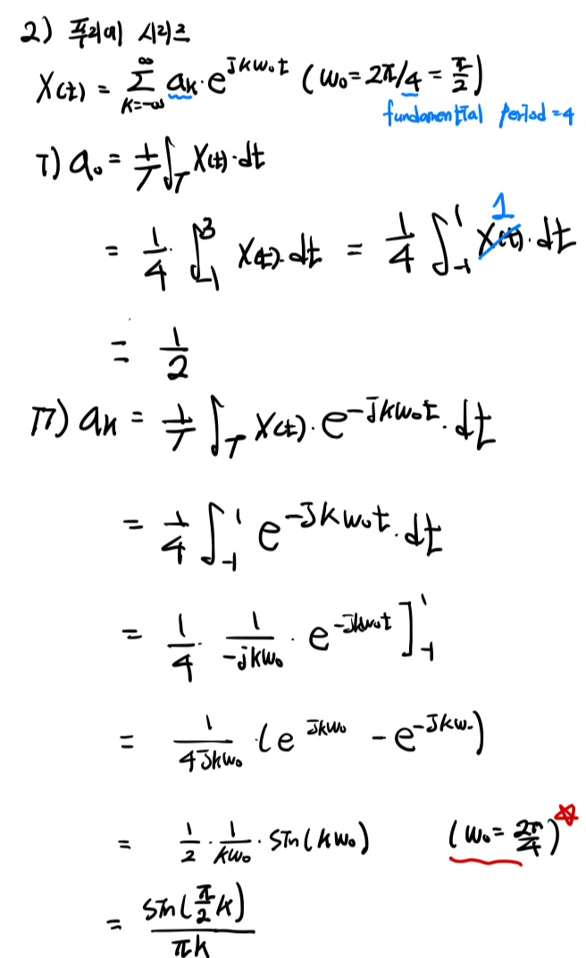
example 1) 유형: 푸리에 시리즈
Q. 위 주어진 신호의 푸리에 시리즈, 푸리에 시리즈 계수를 구하라.

주어진 식은 Periodic 신호이다. 그렇기에 푸리에 시리즈로 표현할 수있다. 무작정 공식을 통해 푸리에 시리즈 계수를 구하지 말고, 복소지수로 바꾸기 편한 삼각함수들은 공식을 통해 복소 지수로 바꾸자.

복소 삼각함수 공식

삼각함수로 구성된 신호는 당연히 주기성을 같은 연속 신호이다. 즉 푸리에 시리즈로 표현이 가능하며, 복소 삼각함수 공식을 통해 바로 푸리에 시리즈로 전개할 수 있다.
이를 정리하면 답은 다음과 같다. ** 답 어떻게 쓰는 지 중요함. 계수가 0인 것들도 정의해줘야 한다.

1/i = -i, 오일러 공식 사용, 0의 값을 갖는 나머지 계수에 대해도 정의해줘야 한다.
3) 주기성을 갖는 CT 신호가 Fourier series로 표현 안되는 경우 **********
주기성을 갖는 CT 신호는 '대부분'의 신호들은 푸리에 시리즈로 표현할 수 있다고 여러번 말했다. 그러면 과연 어떨 때 주기성을 갖는 CT 신호가 푸리에 시리즈로 전개할 수 없을까를 알아볼 것이다.cf. 신호가 푸리에 시리즈로 표현된다 = 신호가 FSR를 갖는다.
- Periodic square wave : 푸리에 시리즈로 표현할 수 없는 주기성을 갖는 CT 신호

정의 암기
위 신호도 주기성을 갖는 CT 신호이다.
이렇게 급격히 값이 바뀌는 미분 불가능한 구간이 존재하는 CT는 푸리에 시리즈로 표현하기가 어렵다.
왜 그런지는 푸리에 시리즈의 계수를 구하면 확인할 수 있다.


dc 공식
는 쉽게 구할 수 있었다. 하지만 문제는 다른 계수들을 구할 때 발생한다.

는 이렇게 sinc function으로 나오게 된다.
https://ko.wikipedia.org/wiki/%EC%8B%B1%ED%81%AC%ED%95%A8%EC%88%98
싱크함수 - 위키백과, 우리 모두의 백과사전
위키백과, 우리 모두의 백과사전. 정규화된 싱크함수파랑와 비정규화된 싱크함수빨강의 그래프 싱크함수sincfunction는 사인함수와 그 변수의 비로 나타내어지는 함수로 sincx 로 나타낸다.
ko.wikipedia.org
sinc 신호를 갖는 $a_k$ 는 주기성이 없는 무한정 이어나가는 신호이기에 값을 특정할 수 없다. 또한 k가 무한정 이어지기에 푸리에 시리즈로 표현할 수 없다.

푸리에 시리즈 계수가 무한정으로 이어진다..
엥 이렇게 푸리에 시리즈로 변환되지 않는 주기성 CT 신호들도 있는데 이거 쓰면 안되는거 아니야? 라고 생각할 수 있다.
처음 푸리에 시리즈가 나왔을 때, 푸리에 시리즈로 모든 주기 신호를 표현할 수 있다고 주장하였다. 하지만 위와 같이 푸리에 시리즈로 표현할 수 없는 신호들이 나중에 발견 된 것이다.
그럼에도 불구하고, '대부분'의 주기 신호는 푸리에 시리즈로 표현할 수 있으며, 이게 안되는 사각파 같은 CT 주기 신호더라도 Harmonically related Complex Exponentials를 유한하게 선형 조합했을 때 이를 어느정도 '근사'할 수 있다.
그렇기에 아직까지 푸리에 시리즈가 널리 사용되고 있는 것이다.
>> 이래서 푸리에 시리즈에서 Harmonically related Complex Exponentials를 사용하는 것이다.
cf. 사각파를 어느정도 '근사'한다는 것이지, FSR로 표현할 수 있다는게 아니다.
***<정리: 주기성을 갖는 CT 신호가 FSR를 갖는지 안갖는지 판단>***
이를 판단하기 위한 두 가지 조건이 있다. 이 두 조건을 만족하면 주기성 CT 신호가 FSR를 갖는다.
1) 신호의 푸리에 시리즈 계수 $의 갯수가 유한해야 한다.
2) 시리즈 계수 $가 수렴해야 한다. 즉 결정적이게 값으로 결정되어야 한다.
주기성 사각파는 두 조건을 모두 만족하지 못한다..
그렇기에 FSR를 갖지 못하는 사각파는 적당히 유한한 Harmonically related complex exponentials들의 선형 합으로 '근사'하며, 비슷하게도 만든다.
이때 복소 지수의 차수를 늘리며 더 많은 복소 지수 신호를 사용해도, 불연속적인 구간에서의 진동이 항상 존재하게 된다. 이를 깁스 현상이라고 하며, 더 많은 복소 지수 신호를 사용하여 근사하여도 폭은 줄어들지만, 높이는 특정 높이에서 더 이상 내려오지 않는다.


***** <진짜 진짜 진짜 마지막 CTFS 최종 정리. 진짜 완벽하게 이해한 듯> *****
주기성 CT 신호는 '대부분' 푸리에 시리즈로 표현이 가능하다.
연속적인 주기성 CT 신호는 모두 FSR를 갖는다. 하지만 비연속적인 경우 FSR를 안갖는 경우도 진짜 드물게 존재한다.
이러한 예시가 바로 주기성 사각파 Periodic square wave이다.
왜 Periodic square wave가 푸리에 시리즈로 표현되지 않을까?
주기성 사각파의 푸리에 계수를 구해보면.. 값이 정확히 특정되지 않고 무한한 Sinc 함수가 나오게 된다.
푸리에 계수의 갯수가 무한하며, 딱 정확한 값으로 수렴하지 않게 되기에 이 신호는 FSR을 갖지 않는다.
하지만 Periodic square wave 처럼 이렇게 CT 주기성 신호가 FSR이 존재하지 않아도...
유한한 Harmonically related complex exponentials들의 선형 합으로 적당히 '근사'시킬 수 있다...!!
즉 FSR는 없지만, 비슷하게라도 만들 수 있다는 것이다.
이 과정을 보면 다음과 같다.

이 때 점점 더 많은 고차항을 추가할 수록 사각파와 비슷하게 '근사'는 되지만, 불연속점 근처에서 진동이 남아있다.
고차항을 계속 추가하면 피크의 x축 간격은 좁아지지만, 높이는 특정 높이에서 더 이상 줄어들지 않는다.
이를 Gibbs phenomenon 깁스 현상이라고 한다.
하지만, 진짜 특수한 소수 경우를 제외하면 주기성 CT 신호는 FSR를 갖고, FSR를 가지지 않아도 불연속 구간에서의 깁스 현상을 제외하면 그래도 좋은 근사 성능을 보이기에 아직까지 푸리에 시리즈가 널리 사용되고 있다.
cf. FSR = Fourier series representation
cf2. 사실 이 최종 정리한 내용이 젤 핵심이다.
Q. 예상문제: 주기 CT 신호는 대부분 푸리에 시리즈로 표현할 수 있다. 어떠한 경우에 푸리에 시리즈로 표현할 수 없는지 서술하고, 예시 신호를 하나 제시하라.
4) Properties of CTFS
주기성 CT 신호가 특정한 형태로 바뀔 때, 푸리에 시리즈의 계수가 어떻게 바뀌는지를 알아보겠다.

x(t) 신호의 푸리에 시리즈 계수가 ak이다를 표현





6. 추가.. 그닥 중요하지는 않다고 하셨다.
신호가 실수이고, 우/기함수이면 푸리에 시리즈의 계수도 실수이고 우/기함수이다. 이거만 잘 기억해놓자.
++ Parseval relation도 신기하다고 언급하심. 외워놓자 ㅇㅇ.. 한 주기에 대한 토탈 에너지가 모든 푸리에 시리즈 계수 합과 같다.

총 정리. 음 그렇군! 하고 위에서 한 번씩 보면 된다.
example) 아래 신호를 푸리에 시리즈로 표현하라.***** 여러 번 풀기




- DTFS # DT 신호에 대한 푸리에 시리즈 # CTFS와 뭐가 다른지 잘 구분하자. Re... 이해는 했음 ㅇㅇ.. 다시 다시 뒤에 더 디테일하게 이해


주기 길이 대신, 한 주기에 들어가는 샘플 갯수 N을 사용한다 이정도만 차이가 나지 그냥 내용과 공식은 CT와 다 같다.
결국 얘도 DT 신호를 Harmonically related Complex Exponentials의 선형 합으로 표현하고 싶은 거다... ㅇㅇ..
DT신호는 결국 이산적으로 샘플링한 신호와 같다. 이로 인해 푸리에 시리즈로 표현할 때 문제점이 발생한다.
지금부터 CTFS와의 차이를 알아보겠다.
# 문제점1.DT 신호의 주기성.
DT신호는 CT신호의 샘플링한 신호로 볼 수 있다. 이러한 이산적 신호는 주기 안에 어떻게 샘플 수가 들어있냐에 따라 주기성을 잃을 수 있다.



결론: $w_0$가 유리수 x pi 형태여야 주기 안에 자연수 <N>개의 샘플이 들어가며 주기성을 잃지 않는다.
cf. 혹시 나올 수도 있으니 알아두자.. 왜 w = 유리수 x pi가 되어야 샘플이 자연수 갯수<N>을 갖는지. **

# 문제점2. 시리즈가 무한하게 길어질 수 없다. Harmonically related Complex Exponentials이 제한적이다.
CT는 k 그니까 복소 지수의 차수를 계속 높은 것들을 100개든, 1000개든 사용해서 푸리에 시리즈를 표현할 수 있었다.
cf. 복소 지수의 차수가 올라가면, 결국 복소 삼각함수 공식으로 바꾼 sin, cos들의 주기는 계속 계속 무한히 감소할 것이다.
cf2. sin(ax), cos(ax)의 주기는 2pi/a 이다. 이거 생각하면 위 참고 이해하기 편할 것이다. a는 임의의 실수이다.
하지만 DT 신호에서는 무한정 주기가 늘어나지 않는다. 주기가 줄어들다 다시 늘어났다 하기에 계속 늘려봤자 의미를 갖지 못한다. 즉 Harmonically related Complex Exponentials이 제한적인 것이다.


이러한 CT와 DT와의 차이를 요약하면 다음과 같다..
1) DT신호에서는 harmonically related 복소 함수가 w = 유리수 x pi가 되지 않으면, 주기성을 잃는다. DT는 CT의 샘플링 된 관점으로 볼 수 있는데 이 주기 안에 자연수 갯수의 샘플이 딱딱 대칭적인 간격으로 들어가야 주기가 생기기 때문이다. 그래서 w = 유리수 x pi 형태로 한다.
2) 무한정 주기가 짧아지는 게 아니라 주기가 다시 돌아온다. 즉 복소 지수의 차수를 무한히 늘려도 다시 똑같은게 돌아오기 때문에 굳이 많이 늘릴 필요가 없다. 이는 2pi 간격으로 돌아온다!!!!
그렇기에 아래 DT 푸리에 시리즈에서 한 주기안에 들어오는 샘플 수 <N>으로 계산하게 된다.
cf. <N>은 시간 도메인에서 샘플 수로 해석되지만, 주파수 도메인에서 보면 harmonically related 주파수 성분들의 개수와 비례하며, 밀접하게 연결 된다.\

'학부 수업' 카테고리의 다른 글
| 자연어처리 중간고사 문제 풀이 (1) | 2024.11.05 |
|---|---|
| PR_L03. Fourier Series ((1)) (2) | 2024.10.14 |
| PR_L02. Signals and Systems (1) | 2024.10.14 |
| Introduction to RL (week 1) (3) | 2024.09.23 |