서울시립대학교 인공지능학과 정지영 교수님의 패턴인식 강의를 정리함을 미리 알립니다.
<목차>
Signal
CT/ DT Signal
Signal Properties
System
CT/ DT System
System Properties
Convolution
LTI System
LTI Convolution
- Signal
- What is a Signal? : A signal is a pattern of variation of some form + Signals are variables that carry information
어떤 형태로든 변화의 패턴을 나타내는 것이 바로 신호이다. 신호는 변화하면서 정보를 갖는다.
무엇이 변화하는 값인지에 대해서는 어떤 신호이냐에 따라 다르다. ex) Electrical signals, Video signals.....
- How is a Signal Represented? : •Mathematically, as a function of one or more independent variables.
신호는 함수 형태로 표현된다. 무엇을 따라 신호가 변화하는 가를 결정하기 위해 독립변수를 잡고, 이에 따라 표현하고자 하는 값이 어떻게 변화하는지 기록한다.
신호가 time domain t가 변화함에 따라 변화한다고 하자. 그러면 독립 변수는 시간 t 하나이다. 다음과 같이 표현 될 것이다.

요약: 신호란 변화의 패턴을 나타내며, 변화하면서 정보를 갖는다, 함수 혹은 미분 방정식으로 표현할 수 있다.
- CT/ DT Signal
이러한 신호는 Time을 연속적으로 보느냐, 이산적으로 보느냐에 따라 Continuous-Time Signals과 Discrete-Time Signals로 구분할 수 있다.
- Continuous-Time Signals = CT Signal

대부분의 Real World 신호가 CT 신호이다.
- Discrete-Time Signals

일부 Real world 신호가 DT이다.
CT 신호를 시간에 대해 이산적으로 샘플링하면 DT 신호를 만들 수 있다. 걍 그렇군 ㅇㅇ..
ex) 매 달 통장 잔액, 매 달 1일의 삼성전자 주가... 등

요약: 신호는 시간을 연속적/이산적으로 보느냐에 따라 CT/ DT Signal로 나뉜다. CT를 샘플링하면 DT를 만들 수 있다.
- Signal Properties
신호가 무엇인지, 신호의 종류는 무엇이 있는지 알아봤다. 이제는 이러한 신호들의 4가지 특성에 대해 알아볼 것이다.
1) Periodic Signal # 주기 신호
신호가 주기 T에 대하여 반복되는 값을 가질 때, Periodic 신호라고 한다. 다음과 같은 수식을 만족한다.
$$x(t) = x(T+t) $$
이를 만족하지 않으면 Aperiodic Signals, 비주기 신호이다.
2) Even and Odd Signals *
- Even Signals은 다음과 같은 대칭을 만족할 때이다. 우함수를 생각하면 된다.
$$x(t) = x(-t) $$
= Odd Signals은 다음과 같은 대칭을 만족할 때이다. 기함수를 생각하면 된다.
$$-x(t) = x(-t) $$
**Q. 예상 문제: 모든 임의의 신호는 Odd signal과 Even signal의 합으로 표현할 수 있냐? **
A: O, 모든 신호는 Odd 신호와 Even 신호로 쪼갤 수 있다.
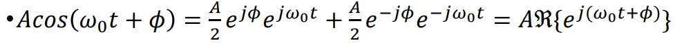
3) Exponential and Sinusoidal signals **** **** Q. 예상 문제
- Exponential은 아래 처럼 지수 함수로 표현되는 신호라고 생각하면 된다.
일반적인 complex exponential signal은 다음과 같은 함수로 표현할 수 있다. C는 임의의 실수라 할 때..

a가 실수냐 복소수냐에 따라 다른 특성을 가지며, 매우 중요한 특성이므로 이는 확실히 공부하고 넘어가야한다.
Case1) C는 임의의 실수, a가 임의의 실수 일 때 # Real exponential signals
a가 실수이면, 그냥 우리가 아는 평범한 지수 함수 처럼 생겼다. ㅇㅇ 당연하다.

Case2) C는 임의의 실수, a가 순허수 일 때 ****
a가 순허수Pure imaginary일 때, 위 Exponential 신호는 Periodic하고 Sinusoidal한 신호가 된다!!
즉 주기성을 가지며, sin/cos으로만 표현할 수 있는 신호이다.
해당 신호는 주기성을 가지므로, 다음과 같은 성질을 보일 수 있다.

좌변과 우변이 같기 위해 e^(jwT)는 1이 될 것이다. **유도 암기**

이는 오일러 공식에 의해 다음과 같이 표현할 수 있다.

# Complex periodic and sinusoidal signals, 즉 C가 상수이고 a가 순허수인 지수 신호는 무한 시간 구간에서 무한한 total energy와 유한한 average power를 갖는다. 이는 뒤 + 추가. 시그널이 갖는 값 정의에서 잘 설명해놨으니 한 번 보고 오면 좋을 듯 하다. 주기성을 갖고 반복되며, sin과 cos으로 이루어져있기 때문에 토탈 에너지가 무한하다는 것을 직관적으로 이해할 수 있다.
한 주기에 대해서는 위에서 유도한 e^(jwT) = 1을 통해 다음과 같이 구할 수 있다.

즉 한 주기에 대한 토달 에너지는 주기 구간의 길이이며, average power는 1이 됨을 알 수 있다.

Q. Case2에서 o/x 문제 많이 나올 듯 하다. 모르는 내용이 없도록 하자..
Case3) C와 a가 모두 순허수가 아닌 복소수 일 때
C와 a가 모두 순허수가 아닌 복소수 일 때, 신호는 Periodic하지는 않지만, Sinusoidal한 신호가 된다.
C와 a 모두 복소수인 것이다. 이 둘을 다음과 같은 다른 폼으로 표현해보자.

이를 통해 다음과 같은 신호를 유도할 수 있다.

< Exponential signal 총 정리 >

| C: 임의의 실수/ a: 실수 | C: 임의의 실수/ a: 순허수 | C, a: 순허수가 아닌 복소수 | |
| Periodic | X | O | X |
| Sinusoidal | X | O | O |
- Sinusoidal은 신호가 Sin과 Cos으로'만' 이루어져 있는 신호이다.
ex) $$ x(t) = sin(t) + cos(t) $$
다음과 같이 일반화할 수 있다.

복소수 삼각함수 공식에 의해 다음과 같이 변할 수 있다. ****

참고로 1/i = -i 이다.

4) Step and pulse signals # CT일 때와 DT일 때의 모양이 다르다. 조심하자.
- Step signal
t 혹은 n이 0을 넘었을 때, 1의 값을 갖는다. CT step와 DT step signal을 구분하자.


- Pulse signals ***
t 혹은 n이 0이 되었을 때, CT의 경우 무한한 값을, DT의 경우 1의 값을 갖는다. 둘을 잘 구분해야한다.


뒤에서 매우 매우 자주 쓰이므로 꼭 이해하고 넘어가자.
+ 추가. Impulse signal과 Step signal의 관계.
- Discrete Unit Impulse and Step Signals, DT의 경우 Step 신호들의 뺄셈을 통해 Impulse 함수를 구할 수 있다. **

# Step 신호의 뺄셈을 통해 Impulse 신호를 구하고, Impulse 신호의 합을 통해 Step을 구할 수 있다.
신호 그래프를 이동해보면서 직관적으로 이해해보자.
- Continuous Unit Impulse and Step Signals, CT의 경우 Step 신호의 미분을 통해 Impulse 함수를 구할 수 있다. **

# Step 신호의 미분을 통해 Impulse 신호를 구하고, Impulse 신호의 적분을 통해 Step을 구할 수 있다.
Impulse 신호를 적분하면 1이 나온다는 것만 알면, 이 또한 직관적으로 이해할 수 있다.
요약: 신호 특성을 공부했다. 중요한 특성들이 많으므로 꼭 여러번 회독하자.
+ 추가. 시그널이 갖는 값 정의. #토에 에파
Energy, power와 같이 물리적 개념을 사용해서 신호의 특성을 표현하는 것은 신호를 해석하고, 이해하는 데 유용할 수 있다. 이렇게 해석을 위해 정의한 값들을 알아볼 것이다.
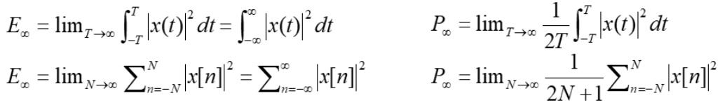
1) Total energe # 토에 E
CT 신호의 경우시간 [t1, t2] 혹은 DT의 경우 이산적으로 나눠진 시간 [n1, n2]에 대한 총 에너지이다. 다음과 같이 구할 수 있다. 해석을 위해 정의한 값이므로 그냥 아 저렇게 구하는구나 하고 외우고 넘어가자.

2) Average power # 에파 P
Total energy를 CT 신호의 경우 구간 시간 t2 -t1으로, DT의 경우 n2-n1+1로 나눠서 구할 수 있다.
DT에 +1이 붙는 이유는 갯수이기 때문이다.
만약 시간 구간이 무한대로 늘어난다면 다음과 같아질 것이다. ***

여기서 수렴과 발산 개념을 생각할 수 있다.
무한한 구간에 대하여 Total Energy가 무한하다고 해보자. 이를 무한한 값 2T 혹은 2N+1으로 나누는 average power는 무한대/ 무한대 부정형이 되며 결국 수학적으로 수렴하게 된다.
반대로 무한한 구간에 대하여 Total Energy가 유한하다면, 무한대로 나누는 average power는 0으로 수렴할 것이다.
이를 정리하면 다음과 같다.

Q. 예상문제 *** O.X에 나올 것 같다.
+ 추가. Time Shift Signal Transformations

t 계수 a에 대하여 1보다 크면 축소되는데 이게 헷갈릴 수 있다고 교수님이 설명하셨다.
2배속 하면 빠르게 된다 이런 느낌으로 이해하면 쉽다. x(2t)는 x(t)에 비해 2배 빠른 것이다. 위 예시 그래프에서 볼 수 있다.
- System
- What is a System?: A system takes a signal as an input and transforms it into another signal
시스템은 Input으로 '신호'를 받아, 이를 다른 Output '신호'로 변환하는 블랙박스를 말한다.
- How is a System Represented?
신호는 미분 방정식, y(t) = 4x(t) 같은 배수 표현 등 다양한 체계로 표현 될 수 있다. 가장 간단한 형태는 다음 같은 그림이다.

다음과 같이 미분 방정식을 통해 시스템을 표현할 수도 있다.

요약: 시스템은 신호를 받아 다른 신호로 바꾸는 블랙박스이다. 시스템은 변화를 표현하는 다양한 방법으로 표현된다.
- CT/ DT System
- CT System: continuous-time input signals are applied and result in continuous-time output signals
input 신호와 output 신호가 CT 신호일 때 이를 CT 시스템이라고 한다.
- DT System: transforms discrete-time inputs into discretetime outputs
input 신호와 output 신호가 DT 신호일 때 이를 DT 시스템이라고 한다.
ㅇㅇ 당연하다.
해당 수업에서 시스템을 짜고, 만들 기회는 없을 것이다. 하지만 CT/ DT System에서 변화를 어떻게 표현하는지는 구분하고 넘어가야 뒤에서 편하게 공부할 수 있다.


- CT System의 경우
들어온 input 신호가 어떻게 변화하는지 일반적으로 미분 방정식differential equations을 통해 표현한다.
# 변화를 미분으로 표현
- DT System의 경우
들어온 input 신호가 어떻게 변화하는지 일반적으로 차분 방정식difference equations 을 통해 표현한다.
# 변화를 뺄셈으로 표현
요약: 뭘 받고 뱉느냐에 따라 CT/DT 신호로 구분된다.
신호를 표현하기 위해 CT/ DT가 일반적으로 사용하는 방식은 미분/ 뺄셈으로 다르다.
- System Properties ****
1) Causal: 인과관계
시스템이 미래 input에는 영향을 받지 않는 것이다. output이 나오는 시점까지의 input만이 output에 영향을 줄 수 있다.
ex) 통장 잔고를 보여주는 시스템.. 미래에 들어올 돈들은 통장 잔고에 포함되지 않는다.
Non-causal 시스템의 예시로는 평균 필터 등이 있다.
2) Stability
Input 신호가 유계일 때, Output 신호가 유계이면 이를 System Stability라고 한다. 다음과 같이 수식으로 정의할 수 있다.


3) Time-invariance ****: 시불변...? 한국어로 번역하면 좀 이상하다.
input 신호가 time-shift된 만큼, output 신호가 time-shift되면 이를 time invariance라고 한다.
즉 $x(t) -> y(t)$ 일 때, time-invariance하다면 $x(t-t0) -> y(t-t0)$가 되야 한다.
Q.예상문제: Time-invariance를 판정하시오.
>> input 신호에 time을 딜레이 시킨 후 시스템에 넣은 결과와, output 신호을 직접 딜레이 시킨 결과가 같음을 보이면 된다.
해당 시스템 특성은 뒤에서 배울 LTI 시스템에서 매우 중요하게 쓰인다. 잘 이해하고 넘어가자.
4) Linearity ****: 선형성
시스템이 다음과 같은 두 조건을 만족할 때 System Linearity를 만족한다고 한다.
만약 input 신호 x1, x2을 시스템에 넣었을 때의 output y1, y2를 안다고 하자. 두 조건은 다음과 같다.

이 두 조건을 Superposition 이라고 한다. # Superposition = Additivity + Scalability
# 선형성이 중요한 이유
시스템이 선형성을 만족할 때, 우리는 Output 신호를 쉽게 예측할 수 있다.
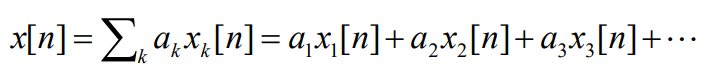
만약 복잡한 신호 X[n]을 작은 시스템들로 나눌 수 있다고 해보자.

복잡한 신호 X[n]를 시스템에 넣은 결과는 예측하기 어렵지만, 작은 시스템들의 예측 결과는 알기 비교적 쉽다. 즉 만약 작은 시스템 x1[n], x2[n]... 들의 output 신호를 알 수 있다면, 선형성에 의해 다음과 같이 쉽게 결과를 구할 수 있다.

아래 특성들은 그냥 그렇군 하고 설명만 보고 넘어가자..
+ Interconnections of Systems

말 그대로 내부적으로 작은 시스템들이 연결된 시스템을 이야기 한다. 순차적/ 병렬적/ 피드백 방식으로 연결될 수 있다.
+ System with and without Memory

메모리가 없어 과거 input을 사용할 수 없는 경우를 이야기 한다. 메모리가 있는 경우는 과거 input를 사용할 수 있다.
+ Invertibility and Inverse Systems

시스템의 역변환이 가능한지이다. 받은 신호를 2배로 증폭하는 시스템은 역변환이 가능하지만, 제곱하는 시스템은 역변환이 불가능 할 것이다.
+ 추가. How Are Signal and Systems Related?
시스템은 input 신호를 받아 다른 output 신호로 바꾸는 블랙박스라고 위에서 설명했다. 원하는 것에 따라 시스템의 설계가 달라진다. 이를 위해서 신호 값을 이해하는 것이 중요하다.
만약 input 신호에 노이즈를 제거하기 위한 시스템을 만들고 싶다고 하자. output는 노이즈 n(t)를 제거한 형태가 되어야할 것이다.

변형되어 있는 신호를 되돌리는 시스템을 만들고 싶다고 하자. 다음과 같이 역변환을 거치는 시스템을 설계해야할 것이다.

요약: 원하는 것에 따라 시스템의 설계가 달라진다. 당연하지 ㅇㅇ..
# 컨볼루션은 누적된 값들을 계산하는 것이다. # 모든 신호들은 임펄스들의 합으로 표현할 수 있다..
# 임펄스 리스펀스를 안다면 LTI 시스템의 아웃풋을 구하기 정말 정말 쉬워진다!!
## L02에서는 DT의 경우를 다룬다, L03에서 CT를 다룰 것이다. 거의 비슷하다 ##
LTI 시스템에서의 아웃풋 신호를 쉽게 예측하기 위해서 공부할 것이다. 이를 위해서 우선 다음과 같은 개념을 알아야 한다.
0) Convolution 연산은 누적된 값들을 계산하는 것이다.
1) Impulse Response
Impulse Response란, input 신호인 impulse 신호을 어떠한 시스템에 넣었을 때의 결과 신호를 말한다.

2) 모든 신호는 Impulse 신호로 치환할 수 있다.****DT/ CT 전부 다 가능하다.우선 DT 신호의 경우를 보자. 모든 DT 신호는 다음과 같이 치환할 수 있다.

이게 이해가 안된다면 다음 예시를 보고 이해해보자.

3) LTI System
LTI System이란, System 특성에서 공부한 Superposition + Time-invariance를 만족하는 시스템이다.
즉 선형성의 조건인 Scalability와 Additivity를 만족하며, Time-invariance를 만족하는 시스템이라는 것이다.
자 이들을 합쳐보자.
X[n]를 LTI 시스템에 넣는다고 해보자. 이렇게 바로 넣는 경우는 Output 예측이 어렵다.
이 때, X[n]를 Impulse 신호로 치환 해보자.
Impulse response를 알고 있거나, 구하기 쉽다면.. LTI 시스템이 넣어 다음과 같이 쉽게 계산할 수 있다.

위 계산에서 왜 LTI에서만 왜 이게 되는지 >> LTI 조건에 의해 결과가 합성곱 연산이 되므로
모든 신호는 Impulse의 합으로 바꿀 수 있다 >> Impulse response만 알면 쉽게 계산할 수 있다. 를 알 수 있었다.

이를 LTI Convolution이라고 한다.
cf. PR_L03에서 CT 신호에 대한 내용을 다룰 것이다. 이건 DT에 대한 LTI Convolution내용이었다.
+ 추가 예제.ex1)


sol)


ex2) 아직 못품
'학부 수업' 카테고리의 다른 글
| 자연어처리 중간고사 문제 풀이 (1) | 2024.11.05 |
|---|---|
| PR_L03. Fourier Series ((2)) (1) | 2024.10.16 |
| PR_L03. Fourier Series ((1)) (2) | 2024.10.14 |
| Introduction to RL (week 1) (3) | 2024.09.23 |