10주차. Principal Component Analysis
서울시립대학교 인공지능학과 노영민 교수님의 데이터 마이닝 강의를 정리함을 미리 알립니다.
- cf. 선형대수 기초 지식
Unit vector : 단위 벡터
Orthogonal vectors : 두 벡터가 직교할 때
Orthonormal vectors : 정규 직교 벡터. 두 벡터가 크기가 1이고 직교할 때.

Orthogonal Matrix : 직교 행렬. 모든 Column이 정규 직교 벡터. + n x n 정방 행렬

$q_1, q_2 ... q_n$은 서로 수직인 단위 벡터. # A가 직교 행렬이다 <-> $A^{-1} = A^T $ **
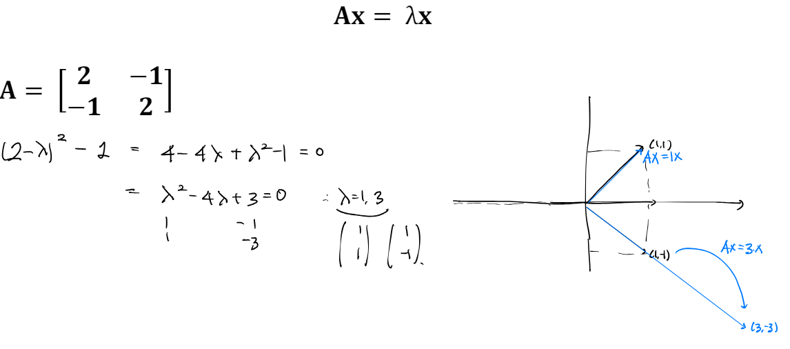
Eigenvalue & Eigenvector : 고유치, 고유 벡터


위 풀이를 증명하면 다음과 같다. $Ax = λx$ <-> $Ax - λx = 0$ <-> $(A - λI)x = 0$
만약 고유 벡터가 0벡터라고 하자. 그러면 고유치는 어떤 숫자든 들어올 수 있다. 이는 별 수학적 의미가 없다..
우리는 0이 아닌 고유 벡터에 대해 관심이 있다. $(A - λI)x = 0$ 에서 만약 $(A - λI)$ 의 역행렬이 존재한다면...
$(A - λI)x = 0$ <-> $Ix = (A - λI)^{-1} 0$ <-> $x = (A - λI)^{-1} 0$ <-> $x = 0$이 나온다.
즉 0이 아닌 고유 벡터를 관찰하기 위해서는 $(A - λI)$ 행렬은 역행렬이 존재하지 않은 비가역 행렬이어야 한다.
즉 $det(A - λI) = 0$ 이며, 여기서 고유치를 뽑을 수 있다. 뽑은 고유치를 $(A - λI)x = 0$에 대입하여 고유 벡터도 구한다.

고유 벡터는 무수히 많을 수 있다.
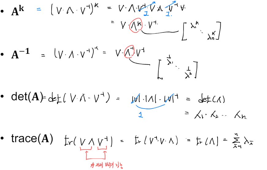
- cf. 선형대수 기초 지식 - Eigen decomposition(고유값 분해)

엄밀하게 말하면 A는 직교 대각화가 가능한 대칭 행렬은 아니므로, $A = Q Λ Q^{-1}$ 이 맞다..
A는 아직 n개의 선형 독립 고유 벡터를 갖는 nxn 정방행렬이다. Q를 A의 고유 벡터로 구성하면 위 식이 성립한다.
A가 만약 대칭 행렬이라면, 모든 고유 벡터가 직교한다. 즉 Q를 서로 독립인 고유 벡터이자, 크기가 1인 직교 벡터로 구성할 수 있다. 그런 경우 Q는 직교 행렬이 되어 $Q^{-1} = Q^T $ 이므로 $A = Q Λ Q^{T}$를 만족한다.

이렇게 고유값 분해가 된 행렬은 다음과 같은 성질을 만족한다.

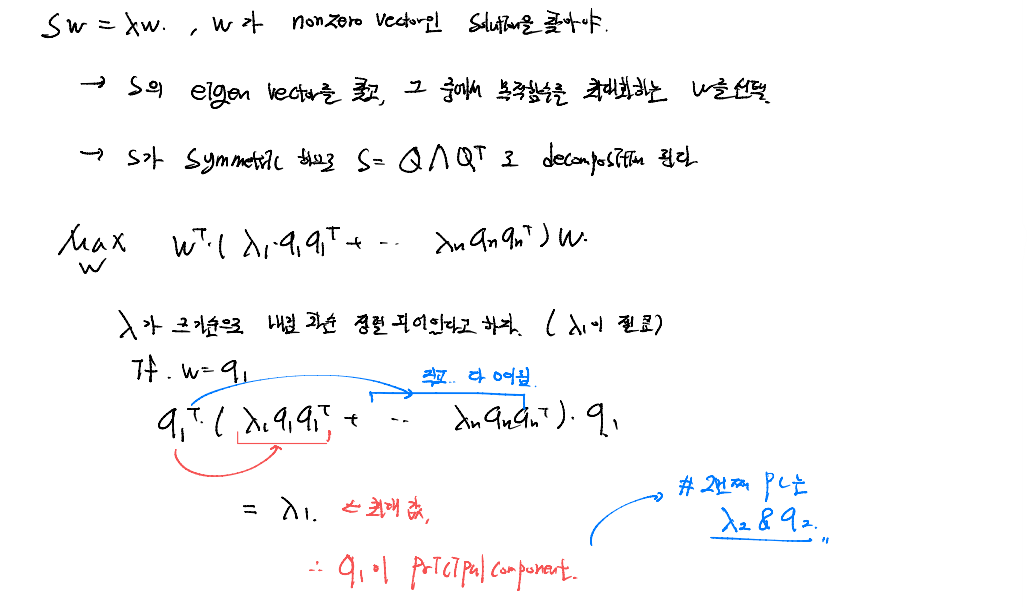
Q. A가 대칭행렬일 때, 대각화가 가능하다. **증명**

- cf. 선형대수 기초 지식 - 특이값 분해 ***


대칭행렬 A에대한 X의 행렬 변환(AX)은 특이값 분해를 통해 다음과 같이 전개할 수 있다.
q1, q2, q3는 정규직교 벡터이므로....
해당 행렬 변환은 X벡터를 q1, q2, q3방향 벡터로 분해하고, λ1, λ2, λ3으로 크기를 조정한 의미를 갖는다.
- Principal Component Analysis(,PCA) 주성분 분석 # 차원 축소, # 데이터를 표현할 때 가장 중요한 차원 축 찾기
우리는 고차원 데이터를 저차원 데이터로 축소해서 표현하고 싶은 것이다. 다음과 같은 예시를 보자


어떤 축으로 축소할지 결정함에 따라 데이터가 정사영된다.
우리는 데이터 손실을 막기 위해 데이터 차원을 축소해도 데이터가 덜 겹치는 방향을 찾아 정사영을 해야한다.
즉 축소 전, 후의 Error가 가장 작도록 분산이 가장 큰 차원 축을 찾아 정사영 해야한다.
(분산이 크면 넓게 펴지니까 겹치지 않는다. 즉 전, 후 에러가 줄어든다)
이를 해결하는 최적화 문제, 라그랑즈 승수법, 라그랑즈 듀얼을 소개하겠다. (SVM을 공부하고 오면 편하다.)
i) 벡터의 시점이 0으로 오도록 정규화를 진행한다. = 평균이 0이도록 정규화를 진행한다.

ii) 찾고자 하는 분산이 가장 큰 = 축소 전 후error가 가장 작은 축을 w라고 하자. 이는 decision variable이다.
사영 전 벡터와 w축에 사영한 벡터의 차이를 에러라고 보고, 음수/양수 일 수 있으니 제곱하여 평균낸다. 이가 바로 에러의 총합이 될 것이다. 이를 최소로하는 w를 찾으면 된다. w축 방향의 w 벡터는 단위 벡터로 두자.

위 목적 함수를 전개하면 다음과 같은 결과가 나온다.

이를 라그랑즈 승수법 문제로 바꾸고, 듀얼 문제를 풀면 최대 목적함수 값과 w를 구할 수 있다.

